Simulations

Last week, I did a post for Forbes on the surprisingly complicated physics of a light bulb. Incandescent light bulbs produce a spectrum that's basically blackbody radiation, but if you think about it, that's kind of amazing given that the atoms making up the filament have quantized states, and can absorb and emit only discrete frequencies of light. The transition from the line spectra characteristic of particular atoms to the broad and smooth spectrum of black-body radiation is kind of amazing. The way you get from the one to the other is through repeated off-resonant scattering. The…
Yesterday's post about VPython simulation of the famous bicycle wheel demo showed that you can get the precession and nutation from a simulation that only includes forces. But this is still kind of mysterious, from the standpoint of basic physics intuition. Specifically, it's sort of hard to see how any of this produces a force up and to the left, as required for the precession to happen. I spent a bunch of time last night drawing pictures and writing equations, and I think I have the start of an explanation. It all comes down to the picture of rigid objects as really stiff springs-- the grey…
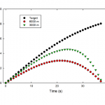
The third of the great physics principles introduced in our introductory mechanics courses is the conservation of angular momentum, or the Angular Momentum Principle in the language of the Matter and Interactions curriculum we use. This tends to be one of the hardest topics to introduce, in no small part because it's the last thing introduced and we're usually really short on time, but also because it's really weird. Angular momentum is very different than linear momentum, and involves all sorts of vector products and things going off at right angles. This leads to some of the coolest demos…
Back in December, The Parable of the Polygons took social media by storm. It's a simple little demonstration of how relatively small biases can lead to dramatic segregation effects, using cute cartoon polygons. You should go read it, if you haven't already. I'll wait. This post isn't really about that. I mean, it is, but it's using it for something dramatically different than the intended purpose of the post. You see, I am such a gigantic dork that when I looked at their toy model, the first thing that came to mind was physics. (And, in fact, I sat on this post topic for the better part of a…
So, last week I idly wondered about the canonical falling-bomb whistle. The was originally intended to be a very short post just asking the question, but I got caught up in thinking about it, and it ended up being more substantial. And leaving room for further investigation in the form of, you guessed it, VPython simulations. This one isn't terribly visual, so you don't get screen shots, just a link to the code at Gist. It's a simulation of a falling bomb, with air resistance, tracking the velocity as a function of time. Then it calculates a "Doppler shift" using the velocity as a fraction of…
Last week, Rhett did a post on animating a bouncing ball in VPython. This was mostly making a point about the distinction between real simulation and animation, along the lines of yesterday's post on social construction of videogame reality. But, of course, my immediate reaction was, "That's not how a bouncing ball looks..." This is how a bouncing ball looks: (As you can see from the watermark, I'm trying out a new video editor...) This is footage of four different types of balls bouncing on a lab cart in our stockroom, shot in gratuitous slow motion (240 fps) because I'm still playing…